Blog
Formula Peratus Vitamin C
gambar flora dan fauna yang ada di pulau jawa
gambar flora dan fauna di pulau jawa
gambar flora dan fauna myanmar
gambar flora dan fauna di negara myanmar
gambar flora dan fauna di sulawesi
gambar flora dan fauna di talenan
gambar flora dan fauna endemik indonesia
gambar flora dan fauna yang bagus dan mudah
Paper 3 Bio Final Form 4 2015 V2
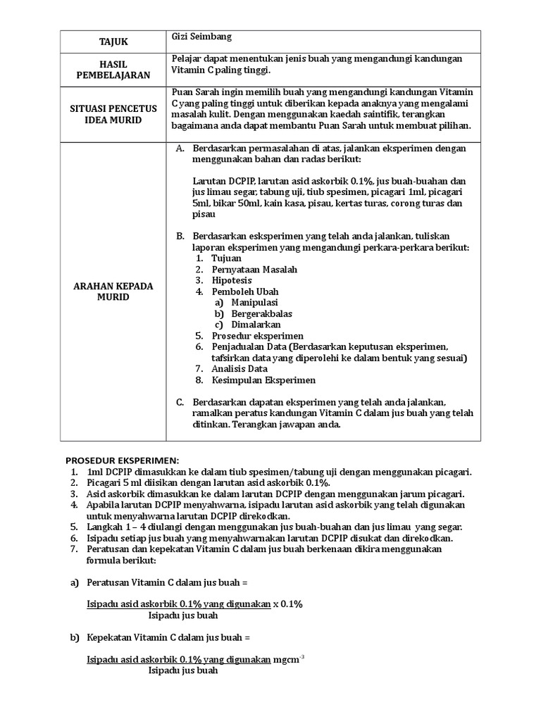
Vit C
Paper 3 Bio Final Form 4 2015 V2
Study2 0 On Twitter Ni Senarai Rumus Formula Bio Yang Korang
1 Biologi Pengesahan Vitamin C
Vit C
Amali Bio Vitamin C Food And Drink Free 30 Day Trial Scribd
Tajuk Vitamin C Docx
Img 0001
Paper 3 Bio Final Form 4 2015 V2
Pdf Formulation And Physical Characterization Of Microemulsions
Kaedah 2 Vitamin C Autosaved
Vit C
Amali Biologi Tingkatan 4 Pages 1 33 Text Version Anyflip
Eksperimen 4
T4 Eks 6 3
Poonchengmoh Vitamin C Content In Fruit Juices
Pdf Laporan Amali 02 Ujian Untuk Makanan Chang Tun Kuet
Soalan Biologi Tingkatan 4 Dwibahasa Kecemasan V
Neutriherbs Vitamin C Serum Youtube
Random Posts
Gambar Tulisan Bagus Di Kertas
Gambar Tempelan Kertas Origami
Gambar Struktur Daging Kerbau
Gambar Warna Coklat Gold
Gambar Wafer Stick Coklat
Gambar Vektor Pesawat Kertas Putih Png
Gambar Tulisan 3d Di Kertas
Gambar Warna Kertas Pemilu 2019
Gambar Sketsa Flora Dan Fauna Yang Mudah Digambar
Gambar Vanila Coklat
Gambar Warna Rambut Coklat Terang
Gambar Tart Coklat
Gambar Vektor Pesawat Kertas Png
Gambar Terik Daging Sapi
Gambar Sketsa Bunga Kembang Kertas
Gambar Ubi Coklat
Gambar Warna Coklat Kopi
Gambar Sketsa Bunga Menggambar Flora Fauna Dan Alam Benda Yg Mudah
Gambar Warna Rambut Coklat Kemerahan
Gambar Stik Pisang Coklat Keju